目录
本文是《统计学习方法》第8章提升方法的笔记,整合了《机器学习实战》中的提升树Python代码,并添加了注解和PR值计算代码。《方法》重理论,但不易理解,《实战》重实践,但缺乏理论基础,特别是AdaBoost算法的解释、提升树与加法模型的关系等。两相结合,应该能获得较为全面的知识。
提升方法AdaBoost算法
提升方法的思路是综合多个分类器,得到更准确的分类结果。 ![]()
AdaBoost算法的归类
《统计学习方法》称AdaBoost是提升算法的代表,所谓提升算法,指的是一种常用的统计学习方法,应用广泛且有效。在分类问题中,它通过改变训练样本的权重,学习多个分类器,并将这些分类器进行线性组合,提髙分类的性能。
《机器学习实战》称AdaBoost是最流行的元算法,所谓元算法,指的是“学习算法的算法”。
AdaBoost算法的基本思想
-
多轮训练,多个分类器
-
每轮训练增加错误分类样本的权值,降低正确分类样本的权值
-
降低错误率高的分类器的权值,增加正确率高的分类器的权值
AdaBoost算法
给定一个二类分类的训练数据集
![]()
其中,每个样本点由实例与标记组成。实例
,标记
,
是实例空间,
是标记集合。AdaBoost利用以下算法,从训练数据中学习一系列弱分类器或基本分类器,并将这些弱分类器线性组合成为一个强分类器。
AdaBoost算法
输入:训练数据集
:弱学习算法;
输出:最终分类器
(1)初始化训练数据的权值分布

每个w的下标由两部分构成,前一个数表示当前迭代次数,与D的下标保持一致,后一个数表示第几个权值,与位置保持一致。初始情况下,每个权值都是均等的。
(2)对
(这里的M原著未做解释,其实是表示训练的迭代次数,是由用户指定的。每轮迭代产生一个分类器,最终就有M个分类器):
(a)使用具有权值分布的训练数据集学习,得到基本分类器

(b)计算
在训练数据集上的分类误差率

分类误差率这个名字可能产生误解,这里其实是个加权和。
(c)计算
的系数

这里的对数是自然对数。
表示
在最终分类器中的重要性。由式
可知,当
时,
,并且
随着
的减小而增大,所以分类误差率越小的基本分类器在最终分类器中的作用越大。
为什么一定要用这个式子呢?这与前向分步算法的推导有关,在后面的章节会介绍。
(d)更新训练数据集的权值分布

y只有正负一两种取值,所以上式可以写作:

这里,
是规范化因子

它使
成为一个概率分布。
由此可知,被基本分类器误分类样本的权值得以扩大,而被正确分类样本的权值却得以缩小。两相比较,误分类样本的权值被放大
倍。因此,误分类样本在下一轮学习中起更大的作用。不改变所给的训练数据,而不断改变训练数据权值的分布,使得训练数据在基本分类器的学习中起不同的作用,这是AdaBoost的一个特点。
(3)构建基本分类器的线性组合

得到最终分类器

AdaBoost算法的解释
AdaBoost算法还有另一个解释,即可以认为AdaBoost算法是模型为加法模型、损失函数为指数函数、学习算法为前向分步算法时的二类分类学习方法。
为什么还要学习前向分步算法呢?直接给我AdaBoost的代码不就好了吗?因为只有理解了前向分步算法,才能理解AdaBoost为什么能跟决策树组合起来。
前向分步算法
考虑加法模型(additive model)
![]()
其中,
为基函数,
为基函数的参数,
为基函数的系数。显然,
是一个加法模型。
在给定训练数据及损失函数的条件下,学习加法模型
成为经验风险极小化即损失函数极小化问题:

通常这是一个复杂的优化问题。前向分步算法(forward stage wise algorithm)求解这一优化问题的想法是:因为学习的是加法模型,如果能够从前向后,每一步只学习一个基函数及其系数,逐步逼近优化目标函数式
(L应该是loss的缩写,表示一个损失函数,输入正确答案yi和模型预测值,输出损失值),那么就可以简化优化的复杂度。具体地,每步只需优化如下损失函数:

也就是说,原来有M个分类器,现在只专注优化一个。
给定训练数据集
。损失函数
和基函数的集合
,学习加法模型
的前向分步算法如下:
算法(前向分步算法)
输入:训练数据集
,损失函数
,基函数集
;
输出:加法模型
(1)初始化
(2)对
(a)极小化损失函数

得到参数
(b)更新

(3)得到加法模型

这样,前向分步算法将同时求解从m=1到M所有参数
的优化问题简化为逐次求解各个
的优化问题。
前向分步算法与AdaBoost
由前向分步算法可以推导出AdaBoost,用定理叙述这一关系。
定理 AdaBoost算法是前向分歩加法算法的特例。这时,模型是由基本分类器组成的加法模型,损失函数是指数函数。
证明 前向分步算法学习的是加法模型,当基函数为基本分类器时,该加法模型等价于AdaBoost的最终分类器
由基本分类器
及其系数
组成,m=1,2,…,M。前向分步算法逐一学习基函数,这一过程与AdaBoost算法逐一学习基本分类器的过程一致。下面证明前向分步算法的损失函数是指数损失函数(exponential loss function)

时,其学习的具体操作等价于AdaBoost算法学习的具体操作。
假设经过m-1轮迭代前向分步算法已经得到
:

在第m轮迭代得到
和
。

目标是使前向分步算法得到的
使
在训练数据集T上的指数损失最小,即

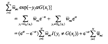
上式可以表示为

其中,
(指数中的加法可以拿出来做乘法)。因为
既不依赖α也不依赖于G,所以与最小化无关。但
依赖于
,随着每一轮迭代而发生改变。
现证使式
达到最小的
就是AdaBoost算法所得到的
。
求解式
可分两步:
首先,求
。对任意a>0,使式
最小的
由下式得到:

其中,
。
此分类器
即为AdaBoost算法的基本分类器
,因为它是使第m轮加权训练数据分类误差率最小的基本分类器。
之后,求
。
中

这个转换很简单,当y和G一致时,指数为负,反之为正,第二个等号也是利用这个原理,只不过换成了用指示变量I表述。
将已求得的
代入式
,对α求导并使导数为0,即得到使式
最小的a。

其中,
是分类误差率:
这里的
与AdaBoost算法第2(c)步的
完全一致。
最后来看每一轮样本权值的更新。由

以及
,可得

这与AdaBoost算法第2(d)步的样本权值的更新,只相差规范化因子,因而等价。
提升树
提升树是以分类树或回归树为基本分类器的提升方法。提升树被认为是统计学习中性能最好的方法之一。
提升方法实际采用加法模型(即基函数的线性组合)与前向分步算法。以决策树为基函数的提升方法称为提升树(boosting tree)。对分类问题决策树是二叉分类树,对回归问题决策树是二叉回归树。在原著例题中看到的基本分类器,可以看作是由一个根结点直接连接两个叶结点的简单决策树,即所谓的决策树桩(decision stump)。提升树模型可以表示为决策树的加法模型:

其中,
表示决策树;
为决策树的参数;M为树的个数。
提升树算法
提升树算法采用前向分步算法。首先确定初始提升树/e(x)=0,第m歩的模型是

其中,
为当前模型,通过经验风险极小化确定下一棵决策树的参数

由于树的线性组合可以很好地拟合训练数据,即使数据中的输入与输出之间的关系很复杂也是如此,所以提升树是一个髙功能的学习算法。
不同问题有大同小异的提升树学习算法,其主要区别在于使用的损失函数不同。包括用平方误差损失函数的回归问题,用指数损失函数的分类问题,以及用一般损失函数的一般决策问题。
对于二类分类问题,提升树算法只需将AdaBoost算法中的基本分类器限制为二类分类树即可,可以说这时的提升树算法是AdaBoost算法的特殊情况,接下来通过《机器学习实战》中的代码学习其应用。
提升树的Python实现
AdaBoost+决策树=提升树,来看看具体用Python怎么实现。
测试数据
老规矩,写代码前先看数据,有什么样的数据写什么样的代码。
考虑到学习代码的最佳方式是单步,而单步的时候,测试数据越简单越好。所以这里先上一份简单的测试数据:
def loadSimpData(): """ 加载简单数据集 :return: """ datMat = matrix([[1., 2.1], [2., 1.1], [1.3, 1.], [1., 1.], [2., 1.]]) classLabels = [1.0, 1.0, -1.0, -1.0, 1.0] return datMat, classLabels
数据很简单,就是一个二维平面上的5个点。
写一段可视化代码:
def plotData(datMat, classLabels):
xcord0 = []
ycord0 = []
xcord1 = []
ycord1 = []
for i in range(len(classLabels)):
if classLabels[i]==1.0:
xcord1.append(datMat[i,0]), ycord1.append(datMat[i,1])
else:
xcord0.append(datMat[i,0]), ycord0.append(datMat[i,1])
fig = plt.figure()
ax = fig.add_subplot(111)
ax.scatter(xcord0,ycord0, marker='s', s=90)
ax.scatter(xcord1,ycord1, marker='o', s=50, c='red')
plt.title('decision stump test data')
plt.show()
画出来是这种效果:

单层决策树分类
单层决策树就是一个树桩,只能利用一个维度的特征进行分类。
def stumpClassify(dataMatrix, dimen, threshVal, threshIneq): # just classify the data """ 用只有一层的树桩决策树对数据进行分类 :param dataMatrix: 数据 :param dimen: 特征的下标 :param threshVal: 阈值 :param threshIneq: 大于或小于 :return: 分类结果 """ retArray = ones((shape(dataMatrix)[0], 1)) if threshIneq == 'lt': retArray[dataMatrix[:, dimen] <= threshVal] = -1.0 else: retArray[dataMatrix[:, dimen] > threshVal] = -1.0 return retArray
dimen决定了这个树桩能用的唯一特征。
构建决策树桩
上个函数到底取什么参数才好呢?给定训练数据集的权重向量,利用该向量计算错误率加权和,取最低的参数作为训练结果。
def buildStump(dataArr, classLabels, D):
"""
构建决策树(一个树桩)
:param dataArr: 数据特征矩阵
:param classLabels: 标签向量
:param D: 训练数据的权重向量
:return: 最佳决策树,最小的错误率加权和,最优预测结果
"""
dataMatrix = mat(dataArr)
labelMat = mat(classLabels).T
m, n = shape(dataMatrix)
numSteps = 10.0
bestStump = {}
bestClasEst = mat(zeros((m, 1)))
minError = inf # 将错误率之和设为正无穷
for i in range(n): # 遍历所有维度
rangeMin = dataMatrix[:, i].min() #该维的最小最大值
rangeMax = dataMatrix[:, i].max()
stepSize = (rangeMax - rangeMin) / numSteps
for j in range(-1, int(numSteps) + 1): # 遍历这个区间
for inequal in ['lt', 'gt']: # 遍历大于和小于
threshVal = (rangeMin + float(j) * stepSize)
predictedVals = stumpClassify(dataMatrix, i, threshVal,
inequal) # 使用参数 i, j, lessThan 调用树桩决策树分类
errArr = mat(ones((m, 1)))
errArr[predictedVals == labelMat] = 0 # 预测正确的样本对应的错误率为0,否则为1
weightedError = D.T * errArr # 计算错误率加权和
# print "split: dim %d, thresh %.2f, thresh ineqal: %s, the weighted error is %.3f" % (i, threshVal, inequal, weightedError)
if weightedError < minError: # 记录最优树桩决策树分类器
minError = weightedError
bestClasEst = predictedVals.copy()
bestStump['dim'] = i
bestStump['thresh'] = threshVal
bestStump['ineq'] = inequal
return bestStump, minError, bestClasEst
上面的这一句
weightedError = D.T * errArr # 计算错误率加权和
其实对应着这个公式:

AdaBoost训练
有了上面的基础,就不难看懂完整的训练代码了:
def adaBoostTrainDS(dataArr, classLabels, numIt=40): """ 基于单层决策树的ada训练 :param dataArr: 样本特征矩阵 :param classLabels: 样本分类向量 :param numIt: 迭代次数 :return: 一系列弱分类器及其权重,样本分类结果 """ weakClassArr = [] m = shape(dataArr)[0] D = mat(ones((m, 1)) / m) # 将每个样本的权重初始化为均等 aggClassEst = mat(zeros((m, 1))) for i in range(numIt): bestStump, error, classEst = buildStump(dataArr, classLabels, D) # 构建树桩决策树,这是一个若分类器,只能利用一个维度做决策 # print "D:",D.T alpha = float( 0.5 * log((1.0 - error) / max(error, 1e-16))) # 计算 alpha, 防止发生除零错误 bestStump['alpha'] = alpha weakClassArr.append(bestStump) # 保存树桩决策树 # print "classEst: ",classEst.T expon = multiply(-1 * alpha * mat(classLabels).T, classEst) # 每个样本对应的指数,当预测值等于y的时候,恰好为-alpha,否则为alpha D = multiply(D, exp(expon)) # 计算下一个迭代的D向量 D = D / D.sum() # 归一化 # 计算所有分类器的误差,如果为0则终止训练 aggClassEst += alpha * classEst # print "aggClassEst: ",aggClassEst.T aggErrors = multiply(sign(aggClassEst) != mat(classLabels).T, ones((m, 1))) # aggClassEst每个元素的符号代表分类结果,如果与y不等则表示错误 errorRate = aggErrors.sum() / m print "total error: ", errorRate if errorRate == 0.0: break return weakClassArr, aggClassEst
其中alpha的计算:
alpha = float( 0.5 * log((1.0 - error) / max(error, 1e-16))) # 计算 alpha, 防止发生除零错误
对应着

之后记录下这个alpha和对应的决策树桩,然后算法更新训练数据的权重:
expon = multiply(-1 * alpha * mat(classLabels).T, classEst) # 每个样本对应的指数,当预测值等于y的时候,恰好为-alpha,否则为alpha D = multiply(D, exp(expon)) # 计算下一个迭代的D向量 D = D / D.sum() # 归一化
对应着

更新完毕后就可以利用这个权值分布训练下一个决策树桩了,当然,作为一个节省时间的策略,可以检查一下当前错误率是否满足要求,如果满足,则终止训练。
提升树分类
分类很简单,就是一个多数表决的过程:
def adaClassify(datToClass, classifierArr): dataMatrix = mat(datToClass) m = shape(dataMatrix)[0] aggClassEst = mat(zeros((m, 1))) for i in range(len(classifierArr)): classEst = stumpClassify(dataMatrix, classifierArr[i]['dim'], \ classifierArr[i]['thresh'], \ classifierArr[i]['ineq']) aggClassEst += classifierArr[i]['alpha'] * classEst print aggClassEst return sign(aggClassEst)
调用方法
利用上述简单数据集进行测试:
datArr, labelArr = loadSimpData() classifierArr, aggClassEst = adaBoostTrainDS(datArr, labelArr, 30) print adaClassify([0, 0], classifierArr)
输出
total error: 0.2 total error: 0.2 total error: 0.0 [[-0.69314718]] [[-1.66610226]] [[-2.56198199]] [[-1.]]
可见前向分步训练过程中的误差率是逐渐降低的:
total error: 0.2 total error: 0.2 total error: 0.0
分类过程中,随着加法模型的不断叠加,对于(0,0)这个点,其累加结果是“负”得越来越厉害的,最终取符号输出-1类别。对应训练数据:

的确应该属于-1。
复杂数据集
《机器学习实战》还给出了一个马疝病数据集:
horseColicTraining2.txt
加载代码:
def loadDataSet(fileName):
"""
从文件中加载以制表符分割的数据集(浮点数格式)
:param fileName:
:return:
"""
numFeat = len(open(fileName).readline().split('\t'))
dataMat = []
labelMat = []
fr = open(fileName)
for line in fr.readlines():
lineArr = []
curLine = line.strip().split('\t')
for i in range(numFeat - 1):
lineArr.append(float(curLine[i]))
dataMat.append(lineArr)
labelMat.append(float(curLine[-1]))
return dataMat, labelMat
训练代码:
datArr, labelArr = loadDataSet("horseColicTraining2.txt")
classifierArr, aggClassEst = adaBoostTrainDS(datArr, labelArr, 10)
我们可以直接将aggClassEst打印出来观察对训练集的预测结果,但这样太抽象,而且我们希望计算准确率和召回率,特别是在测试集上的准确率和召回率。
准确率与召回率
对于二分类问题:

准确率的计算方法为
TP / (TP + FP)
召回率的计算方法为
TP / (TP + FN)
写一段代码计算在不同的数据集下的准确率与召回率:
def evaluate(aggClassEst, classLabels):
"""
计算准确率与召回率
:param aggClassEst:
:param classLabels:
:return: P, R
"""
TP = 0.
FP = 0.
TN = 0.
FN = 0.
for i in range(len(classLabels)):
if classLabels[i] == 1.0:
if (sign(aggClassEst[i]) == classLabels[i]):
TP += 1.0
else:
FP += 1.0
else:
if (sign(aggClassEst[i]) == classLabels[i]):
TN += 1.0
else:
FN += 1.0
return TP / (TP + FP), TP / (TP + FN)
def train_test(datArr, labelArr, datArrTest, labelArrTest, num):
classifierArr, aggClassEst = adaBoostTrainDS(datArr, labelArr, num)
prTrain = evaluate(aggClassEst, labelArr)
aggClassEst = adaClassify(datArrTest, classifierArr)
prTest = evaluate(aggClassEst, labelArrTest)
return prTrain, prTest
datArr, labelArr = loadDataSet("horseColicTraining2.txt")
datArrTest, labelArrTest = loadDataSet("horseColicTest2.txt")
prTrain, prTest = train_test(datArr, labelArr, datArrTest, labelArrTest, 10)
print prTrain, prTest
输出
(0.8595505617977528, 0.7766497461928934) (0.7872340425531915, 0.8604651162790697)
事实上,通过调整分类器的数量(train_test的最后一个参数),可以得到不同的性能。《机器学习实战》验证了1到10000个分类器的错误率:

上图说明分类器并不是越多越好,50是个最好的值,过了这个值,模型发生过拟合,性能越来越低。
ROC曲线
给定分类器在某个数据集上的输出,我们就能计算出假阳率与真阳率,这两个值决定一个坐标点。以假阳率作为x轴,真阳率作为y轴,制定坐标系。
完美的分类器应该是左上角那个点,分类器越接近左上角,就越完美。这样我们就可以较为直观地比较两个不同的分类器了。
在决策函数中,我们使用的是sign来二值化预测强度,以得到最终分类。也就是说,我们取的阈值是0。分类强度离阈值越远,分类的可信度越高。如果我们改变阈值,我们就能得到同一个分类器在坐标系中不同的点,将它们按照阈值大小顺序连成线,就能得到一条ROC曲线。完美的分类器的ROC曲线应该是正方形的左上角对应的两条边,而随机猜测的ROC曲线则是连接左下角与右上角的一条直线。ROC曲线下的面积(AUC)反映了分类器的平均性能。
绘制代码:
def plotROC(predStrengths, classLabels):
import matplotlib.pyplot as plt
cur = (1.0, 1.0) # 中间变量,初始状态为右上角
ySum = 0.0 # variable to calculate AUC
numPosClas = sum(array(classLabels) == 1.0) # TP
yStep = 1 / float(numPosClas)
xStep = 1 / float(len(classLabels) - numPosClas)
sortedIndicies = predStrengths.argsort() # 按元素值排序后的下标,逆序
fig = plt.figure()
fig.clf()
ax = plt.subplot(111)
# 遍历所有的值
for index in sortedIndicies.tolist()[0]:
if classLabels[index] == 1.0: # 预测正确
delX = 0 # 真阳率不变
delY = yStep # 假阳率减小
else:
delX = xStep
delY = 0
ySum += cur[1] # ROC面积的一个小长条
# 从 cur 到 (cur[0]-delX,cur[1]-delY) 画一条线
ax.plot([cur[0], cur[0] - delX], [cur[1], cur[1] - delY], c='b')
cur = (cur[0] - delX, cur[1] - delY)
ax.plot([0, 1], [0, 1], 'b--') # 随机猜测的ROC线
plt.xlabel('False positive rate')
plt.ylabel('True positive rate')
plt.title('ROC curve for AdaBoost horse colic detection system')
ax.axis([0, 1, 0, 1])
plt.show()
print "the Area Under the Curve is: ", ySum * xStep
plotROC(aggClassEst.T, labelArr)
效果:

随机猜测的ROC曲线是一条y=x直线,这是因为对真阳率和假阳率相等,意味着分类器猜对和猜错的比率相等,说明该分类器就是在随机猜。
References
《统计学习方法》
《机器学习实战》
码农场
在adaboost裡面的決策樹,每一個的層數是否都要一樣?
您好,最近我在搭建一个日汉的机器翻译系统,但是苦于没有合适的日语分句程序能对text文本进行分句,请问您知道有这样的日语分句工具吗?谢谢~